2024江西高考賦分對照表,賦分規則是什么?等級分如何換算?
江西是2024年將采取“3+1+2”高考模式的新高考省份,高考選考科目采用了等級賦分。那么其高考賦分規則是什么?等級分是如何換算的?快來了解一下吧!

江西高考賦分對照表及賦分規則

我省普通高中學業水平考試選擇性考試再選科目思想政治、地理、化學、生物學原始分滿分各為100分,以等級轉換分計入高校招生錄取總成績。每科在轉換時,以30分作為等級轉換的賦分起點,滿分為100分。將考生每門再選科目考試的原始成績從高到低劃定為A、B、C、D、E五等,各等級人數所占比例分別為15%、35%、35%、13%和2%。轉換基數為實際參加該再選科目考試并取得有效成績的人數。轉換時,將A至E等級內的考生原始成績,依照等比例轉換法則,分別轉換到100~86分、85~71分、70~56分、55~41分、40~30分五個等級分數區間,根據轉換公式計算,四舍五入得到考生的等級轉換成績。
江西高考賦分算法如下:
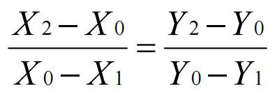
根據等比例轉換法則計算每個考生等級分的公式為:

其中,X1、X2分別表示某個等級所對應卷面分區間的下限和上限;
Y1、Y2分別表示相應等級的等級分賦分區間的下限和上限;
X0表示相應等級內某考生的卷面分;
Y0表示相應等級內某考生的等級分。
根據公式,可以算出每個考生的等級分。
根據公式,考生的卷面分和等級分是線性相關的。在考生卷面分轉換成等級和等級分的過程中,考生在相應選考科目考生群體中的成績排序不會發生變化。
江西高考總成績組成
普通高考考生文化總成績由語文、數學、外語3門全國統一考試科目成績和3門選擇性考試科目成績組成,總分為750分。語文、數學、外語卷面滿分值各為150分,按卷面原始分直接計入考生總成績。選擇性考試科目卷面滿分值各為100分。首選科目歷史、物理以卷面原始分直接計入考生總成績,再選科目思想政治、地理、化學、生物學以等級轉換分計入考生總成績。
選考科目為什么采用等級賦分?
選考科目不使用卷面得分,而采用等級賦分,主要因為:
(1)不同科目的卷面得分缺乏可比性。選考科目由考生自主選擇,不同科目考試內容和難度有所不同,把不同科目考試卷面得分機械相加合成總成績給考生排序不夠合理。
(2)不同科目實行等級分相對可比。等級分,是根據事先確定并公布的各科相同的比例,先按考生的卷面得分劃定相應等級,再按等級賦分,相同的等級分數相同,進而使不同科目的分數具有相對可比性。
(3)此外,考生考什么科目、什么時候考試,使用哪次考試成績都由自己決定,對于實行等級分來說,考生選擇機會和權力是平等的。
以上資料僅供參考,具體請以實際情況為準!
相關閱讀
-
2023新疆最高分及高考狀元是誰?附每年高考各省的高考狀元是誰,是大家都很關心的話題。2023年的高考已然結束,大家一起來看看新疆自治區的文理科高考狀元分別是誰、高考文理科的最高分是多少吧!...作者:kokkuri 時間:2023-10-31 -
高校專項計劃專業有哪些是冷門專業高考地方專項計劃作為高考三大計劃之一,是國家政策對一些貧困地區傾斜的表現。那么高校專項計劃專業有哪些?都是冷門專業嗎?以及高校專項計劃的好處和壞處是什...作者:小魚 時間:2023-10-30 -
2024年遼寧高考具體報名時間及截止2023年高考結束之后,2024年的高考也就開始邁入了倒計時階段。那么遼寧省2024年高考何時開始報名?在哪報名?考試費用是多少?快來了解一下吧! 2024年遼寧高考...作者:kokkuri 時間:2023-10-30 -
浙江高考選科組合有哪些?附2024浙我國很多省份相繼開始實行新高考政策,實行新高考政策的省份也使用了新的試卷。對于新高考地區的同學來說,如何選科是大家比較關注的。那么接下來我們一起了解下...作者:小魚 時間:2023-10-30 -
海南高考的裸分是多少?2023海南高大家都知道,高考總分大部分都是750分,但是也有個別省份的高考總分是900分。例如海南省,那么海南高考各科裸分是多少?接下來我們一起了解下。 海南高考的裸分...作者:小魚 時間:2023-10-30 -
2023寧夏最高分及高考狀元是誰?附每年高考各省的高考狀元是誰,是大家都很關心的話題。2023年的高考已然結束,大家一起來看看寧夏自治區的文理科高考狀元分別是誰、高考文理科的最高分是多少吧!...作者:kokkuri 時間:2023-10-31
最新文章
推薦閱讀
- 張雪峰最不建議上的211 :附211里最差的30所大學(2023參考)
- 專升本報名入口官網2023報名時間:全國各省專升本報名時間及入口
- 同學聚會有什么壞處?聰明人不參加同學會原因有4點你中了么
- 高考成績一般什么時候出來?2022全國高考成績公布時間一覽表
- 外省學生可以進衡水中學嗎?怎么進流程有哪些?衡水中學招生條件
- 2023年會考成績查詢入口:各省普通高中學業水平考試成績查詢網址
- 全國警校改革最新入警規定和政策?2022年警校恢復包分配是真的嗎
- 未來最值錢的十大證書你考了幾個?中國國內緊缺什么人才盤點
- 武亦姝父母家庭背景如何?中國詩詞大會武亦姝個人簡介曝光
- 華為校招42所高校名單出爐你中了嗎?碩士進華為一般是幾級月薪呢