2024年3+1+2新高考有哪些省份?高考滿分多少分?怎么賦分?
2024年又將有一批省份迎來高考改革,那么屆時實行3+1+2新高考模式有哪些省份?這些省份高考滿分多少分?怎么賦分?快來了解一下吧!

2024年3+1+2新高考省份
2024年實施3+1+2新高考模式的省份為:河北、遼寧、江蘇、福建、湖北、湖南、廣東、重慶、黑龍江、甘肅、吉林、安徽、江西、貴州、廣西,共15個省份。其中,安徽、黑龍江、江西、貴州、吉林、廣西、甘肅等7個省份于2024年首次開展新高考模式。
2024年國內31個省市將有21個啟用新高考模式,除以上15個“3+1+2”模式省份,還有6個實施“3+3”模式的省份,分別為:北京、上海、海南、天津、浙江、山東。
高考3+1+2模式滿分多少分?
3+1+2模式高考總分為750分。“3”為全國統一高考科目語文、數學、外語3門,每科滿分均為150分,總分450分,各科均以原始分計入考生總成績。“1”由考生在物理、歷史2門首選科目中選擇1門,以原始分計入考生總成績,滿分為100分。“2”由考生在思想政治、地理、化學、生物學4門再選科目中選擇2門,以等級分計入考生總成績,每科滿分均為100分。
3+1+2高考模式賦分規則
思想政治、地理、化學、生物學4門科目每科原始成績為100分,轉換后賦分成績滿分為100分,賦分起點為30分。轉換時將各科目考生原始成績從高到低劃分為A、B、C、D、E共5個等級,各等級人數所占比例分別約為15%、35%、35%、13%和2%。各科目成績計入考生總成績時,將A至E等級內的考生原始成績,按照事先確定的比例,依照轉換公式,分別轉換到100~86、85~71、70~56、55~41、40~30五個分數區間(表1),得到考生的賦分成績。轉換基數為實際參加該科目選擇考的人數(不含缺考及因違紀作弊已被取消該科成績的人數)。
表1:具體等級比例和賦分區間

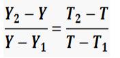
等級轉換的具體公式:

其中:
Y1、Y2分別表示原始分區間的下限和上限;
T1、T2分別表示轉換分區間的下限和上限;
Y表示原始分;
T表示轉換分。
考慮到高考分數都以整數呈現,故上述公式的計算結果需要進行“四舍五入”處理。
以上資料僅供參考,具體請以實際情況為準!
相關閱讀
-
高三一模考試時間2024年具體時間是高三一模是高考前對學生的一次模擬測試,2024年高三一模考試時間預計在3月份-4月份之間。雖然各省模擬考試時間都是不一樣的,但大部分省份的高三一模的考試時間...作者:山海 時間:2023-11-23 -
新高考兩依據一參考是什么意思?高目前全國已有多個省份實施了高考綜合改革制度,那么在新高考模式下高校如何錄取考生?新高考“兩依據一參考”是什么意思?快來了解一下吧! 新高考模式下高校如...作者:kokkuri 時間:2023-11-22 -
2024年體育會納入高考嗎?附體育高2024年體育會納入高考嗎?由于大家比較關心,下面小編整理了一篇相關資訊將為大家詳細的解答! 2024年體育會納入高考嗎? 2024年高考可能會考體育,有關文件已經...作者:山海 時間:2023-11-21 -
2024年高考錄取分數線預測 預計多2024年高考分數線預測是多少?各省高考政策不同、錄取批次不同、分數線差異也很大,下面小編將為大家詳細解答! 2024年高考錄取分數線預測 不同省市的教育水平不...作者:山海 時間:2023-11-21 -
2024年建議走藝考嗎?高中走藝考到藝考是指各大院校的音樂學院,美術學院,或者藝術系等進行的專業招生考試。考試合格者獲得專業合格證,持此證書參加高考,高考成績出來以后,各學校再擇優錄...作者:小魚 時間:2023-11-20 -
2024年廣西高考體育統考時間及地點近日廣西自治區教育考試院發表確定了本省體育類專業考試相關安排,以下為具體相關詳情,可供大家參考。 一、2024年廣西高考體育考試時間及地點 考試批次安排: ...作者:kokkuri 時間:2023-11-21
最新文章
推薦閱讀
- 張雪峰最不建議上的211 :附211里最差的30所大學(2023參考)
- 專升本報名入口官網2023報名時間:全國各省專升本報名時間及入口
- 同學聚會有什么壞處?聰明人不參加同學會原因有4點你中了么
- 高考成績一般什么時候出來?2022全國高考成績公布時間一覽表
- 外省學生可以進衡水中學嗎?怎么進流程有哪些?衡水中學招生條件
- 2023年會考成績查詢入口:各省普通高中學業水平考試成績查詢網址
- 全國警校改革最新入警規定和政策?2022年警校恢復包分配是真的嗎
- 未來最值錢的十大證書你考了幾個?中國國內緊缺什么人才盤點
- 武亦姝父母家庭背景如何?中國詩詞大會武亦姝個人簡介曝光
- 甘肅省教育考試院官網登錄入口2023年:https://www.ganseea.cn/