2024黑龍江新高考等級賦分怎么算?附新高考等級賦分計算公式!
等級賦分制簡單來說,就是對考生的卷面成績進行等級劃分,而后依據考生卷面成績排名所在的等級區間,賦予其對應等級的分數。那么黑龍江新高考等級賦分怎么算?下面跟著小編一起來詳細的了解下吧!

2024黑龍江新高考等級賦分怎么算?附公式!
等級賦分前,先統計每門再選科目實際參加考試的考生人數作為轉換基數。每門再選科目等級成績以30分作為等級轉換的賦分起點,滿分100分。將考生每門再選科目的原始成績從高到低劃分為A、B、C、D、E共5個等級,各等級人數所占比例分別為該科目轉換基數的15%、35%、35%、13%和2%。
再選科目成績計入考生總成績時,將A至E等級內的考生原始成績,依照等比例轉換法則,分別轉換到100~86、85~71、70~56、55~41和40~30五個分數區間,根據線性轉換公式計算得到考生的等級成績,一分一檔,考生等級成績排序和原始成績排序不變。
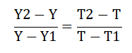
線性轉換公式:

其中,Y表示原始成績(Y1、Y2分別表示原始分區間的下限和上限);T表示轉換后等級成績(T1、T2分別表示轉換分區間的下限和上限)。計算結果通過“四舍五入”取整數。
等級比例和賦分區間對應表:

新高考賦分什么意思
新高考等級賦分就是作為一種相對性評價制度,等級賦分是根據某一考生在考生群體中的相對位置來對其進行評價。由于選考科目中不同學科試題難度差異和報考相應學科的考生群體不同,不同選考科目的原始分不具有可比性。
新高考改革后,選考科目采用等級賦分,等級賦分就是其中3+3模式高考省份,第1個3為語文、數學、外語3門統考科目,采用原始分,第2個3為選考科目,采用等級賦分;3+1+2模式高考省份,3為語文、數學、外語3門統考科目,采用原始分,1為物理或歷史,也采用原始分,2為另外兩門選考科目,采用等級賦分。
因此,需要將不同科目的原始分按照一定規則通過轉換得到等級分,以解決不同選考科目的原始分不具有可比性的問題。
使用等級分,考生最后上的院校和專業,最終是由考生所在的位次決定,也就是在競爭者群體中的相對位置,而非原始分,能最大抹平了由于學科難度差異帶來的不公平現象,使得不同科目之間成績可以相加。
新高考等級賦分制的優點
①新高考等級賦分制能夠較好解決學科之間分數不等值、學生選考科目分數不能直接相加參加高校招生錄取的問題;
②新高考等級區間比例依據所在省往屆考生的實際狀況劃定,符合省情;
③新高考等級賦分制能夠保持考生每門學科成績排名順序不變,確保成績轉換的公平公正;
④新高考等級賦分制能夠最大限度保證考生的成績具有良好的區分度,滿足高校人才選拔需要。
以上內容僅供大家參考!
相關閱讀
-
2024年高考時間幾月幾號 考幾天(距離2024年高考越來越近了,很多人開始關心今年的高考時間是幾月幾號?據了解,6月7號8號是每年高考的固定時間。但有個別省份的考試科目有些特殊,考試科目的安...作者:山海 時間:2024-01-31 -
2024年西藏藝術類專業統考各科類合近日西藏自治區教育考試院研究 確定了2024年西藏普通高校招生藝術類專業統考合格分數線(校考資格線),以下為分數詳情,可供大家參考。 2024年西藏藝術類專業統...作者:kokkuri 時間:2024-01-31 -
2024年山東高考幾天?今年高考具體距離2024年的高考舉行還有四個月的時間,預祝各位參加高考的同學們都能取得令人滿意的成績,金榜題名。那么今年山東具體哪幾天考試?各科考試安排如何?快來了解...作者:kokkuri 時間:2024-01-31 -
2024江西新高考考試時間安排表:各江西省2024年普通高考文化科目實行“3+1+2”模式,由全國統考科目和普通高中學業水平考試選考科目(以下簡稱選考科目)組成。那么新高考模式下,江西省高考時間...作者:山海 時間:2024-01-30 -
2024年貴州藝術類專業統考各科類合近日貴州省教育考試院研究確定了2024年貴州普通高校招生藝術類專業統考合格分數線,以下為分數詳情,可供大家參考。 2024年貴州藝術類專業統考合格分數線 一、本...作者:kokkuri 時間:2024-01-31 -
新高考模式下普通類錄取批次為什么新高考在學生選 科方式、招生錄取模式等方面進一步優化,擴大了學生的選擇權,滿足了學生的專業取向和興趣愛好,是一種公平公正、科學合理的考試招生制度。那么...作者:kokkuri 時間:2024-01-30
最新文章
推薦閱讀
- 張雪峰最不建議上的211 :附211里最差的30所大學(2023參考)
- 專升本報名入口官網2023報名時間:全國各省專升本報名時間及入口
- 2023年會考成績查詢入口:各省普通高中學業水平考試成績查詢網址
- 同學聚會有什么壞處?聰明人不參加同學會原因有4點你中了么
- 高考成績一般什么時候出來?2022全國高考成績公布時間一覽表
- 外省學生可以進衡水中學嗎?怎么進流程有哪些?衡水中學招生條件
- 全國警校改革最新入警規定和政策?2022年警校恢復包分配是真的嗎
- 未來最值錢的十大證書你考了幾個?中國國內緊缺什么人才盤點
- 甘肅省教育考試院官網登錄入口2023年:https://www.ganseea.cn/
- 武亦姝父母家庭背景如何?中國詩詞大會武亦姝個人簡介曝光