2024黑龍江高考賦分對照表,賦分規則是什么?等級分如何換算?
黑龍江是2024年將采取“3+1+2”高考模式的新高考省份,高考選考科目采用了等級賦分。那么其高考賦分規則是什么?等級分是如何換算的?快來了解一下吧!

黑龍江高考賦分對照表及賦分規則

等級賦分前,先統計每門再選科目實際參加考試的考生人數作為轉換基數。每門再選科目等級成績以30分作為等級轉換的賦分起點,滿分100分。將考生每門再選科目的原始成績從高到低劃分為A、B、C、D、E共5個等級,各等級人數所占比例分別為該科目轉換基數的15%、35%、35%、13%和2%。再選科目成績計入考生總成績時,將A至E等級內的考生原始成績,依照等比例轉換法則,分別轉換到100~86、85~71、70~56、55~41和40~30五個分數區間,根據線性轉換公式計算得到考生的等級成績,一分一檔,考生等級成績排序和原始成績排序不變。
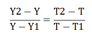
黑龍江高考賦分算法如下:

其中,Y表示原始成績(Y1、Y2分別表示原始分區間的下限和上限);T表示轉換后等級成績(T1、T2分別表示轉換分區間的下限和上限)。計算結果通過“四舍五入”取整數。
黑龍江高考總成績組成
考生總成績由3門全國統考科目成績和3門選擇性考試科目成績組成,滿分750分。其中,全國統考科目每門滿分150分,選擇性考試科目每門滿分100分。語文、數學、外語、物理、歷史科目以原始成績計入考生總成績;思想政治、地理、化學、生物學科目按等級轉換分數計入考生總成績。
等級賦分的意義是什么?
等級賦分作為一種相對性評價制度,是根據相關測量原則,將參加同一科目考試的考生原始成績按生源一定比例進行等級劃定后,再依照等比例轉換法則,將考生的原始成績轉換成等級成績,再計入高考總成績,進而最大可能地實現不同科目成績的可比性,從而保障高考的科學性與公平性。
以上資料僅供參考,具體請以實際情況為準!
相關閱讀
-
高考一段線二段線是什么意思?一段高考一段線二段線與傳統高考的一本二本線是有區別的,那么高考一段線、二段線是什么意思?新高考一段線等同于之前的二本分數線嗎?小編已為大家整理了相關資料,...作者:kokkuri 時間:2024-03-28 -
浙江省高考賦分是怎么算的,是3分浙江省新高考自從2014年開始實行,2017年已經進行了首屆新高考,采取3+3新高考模式。那么2024年浙江省高考賦分規則是什么?是怎么計算的,分差是3分還是1分?快...作者:kokkuri 時間:2024-03-28 -
2024地方專項計劃報名時間及報名入地方專項計劃是指地方高校定向招收實施區域的農村學生的專項計劃。很多學生有著報地方專項計劃的想法,奈何不知道報名時間在什么時候?下面小編將為大家詳細解答...作者:山海 時間:2024-03-27 -
高考地方專項計劃怎么報名申請?報地方專項計劃是國家為支持貧困地區發展而設立的一項高考招生政策,旨在促進教育公平,讓貧困地區考生有機會考上好大學,所以很多人對于該計劃比較關心的,關于怎...作者:山海 時間:2024-03-27 -
高考3+2+1模式是什么意思?2024年高考3+1+2是一種新的高考模式,目前已有多個省份由傳統高考模式轉變為“3+1+2”模式,2024年又將有新一批的省份實施改革。接下來就讓我們一起來了解一下“3+1+2...作者:kokkuri 時間:2024-03-28 -
2024公費師范生什么時候開始報名?公費師范生的優點在于畢業之后是包就業、包分配的,是帶編、帶崗的,是直接可以成為老師的。如果你熱愛教育事業并愿意投身其中,能夠接受畢業后從事教育工作并服...作者:小魚 時間:2024-03-26
最新文章
推薦閱讀
- 張雪峰最不建議上的211 :附211里最差的30所大學(2023參考)
- 2023年會考成績查詢入口:各省普通高中學業水平考試成績查詢網址
- 專升本報名入口官網2023報名時間:全國各省專升本報名時間及入口
- 同學聚會有什么壞處?聰明人不參加同學會原因有4點你中了么
- 高考成績一般什么時候出來?2022全國高考成績公布時間一覽表
- 外省學生可以進衡水中學嗎?怎么進流程有哪些?衡水中學招生條件
- 全國警校改革最新入警規定和政策?2022年警校恢復包分配是真的嗎
- 甘肅省教育考試院官網登錄入口2023年:https://www.ganseea.cn/
- 未來最值錢的十大證書你考了幾個?中國國內緊缺什么人才盤點
- 武亦姝父母家庭背景如何?中國詩詞大會武亦姝個人簡介曝光