湖南高考賦分規則,2024年湖南省高考物理賦分嗎?附算法公式
湖南省是第三批實行新高考的省份,其部分高考科目需要進行賦分轉換,才能計入高考總成績。但依然有部分考生,對于湖南省賦分規則抱有疑惑,想知道2024年湖南省高考物理是否需要賦分?具體是如何計算的?接下來小編就為大家進行解答,不要錯過哦!

2024年湖南省高考物理賦分嗎
不賦分。2024年湖南省實施的是“3+1+2”新高考模式,其規定考生的語文、數學、外語三門統考科目,物理、歷史科目這兩門首選科目,均以原始分計入考生總成績,因此無需對物理學科進行賦分。
而剩下的思想政治、地理、化學、生物四門再選科目,考生需要在其中任選兩科進行考試,并以等級分計入考生總成績。而等級分即是按統一規則,由原始分進行等級劃定后,再由等級轉換而來的分數。
湖南省的賦分規則為:
再選科目每科原始分滿分為100分,轉換時以30分作為等級轉換的賦分起點,滿分100分。
首先,將每門選擇考再選科目考生的原始分從高到低劃分為A、B、C、D、E共5個等級,各等級人數所占比例分別約為15%、35%、35%、13%和2%,從而將考生的原始分轉換成了等級。
然后,將A至E等級內的考生原始分,依照等比例轉換原則,分別轉換到100~86、85~71、70~56、55~41和40~30五個分數區間(見下表),得到考生的等級分。
轉換基數為實際參加該科目選擇考取得有效成績的考生數。等級分計算結果按“四舍五入”的規則以整數呈現。
具體等級比例和賦分區間如下表所示:

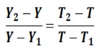
算法公式為:

其中:
Y1、Y2分別表示原始分區間的下限和上限;
T1、T2分別表示轉換分區間的下限和上限;
Y表示原始分;
T表示轉換分。
考慮到高考分數都以整數呈現,故上述公式的計算結果需要進行“四舍五入”處理。
舉例說明:
假設某同學生物學科原始分為75分,該學科B等級的原始分分布區間為82~61,則該同學生物學科的原始成績屬B等級。而B等級的轉換分區間為85~71,那么該同學生物學科的轉換分為:

解得, T≈80.33;
四舍五入后該同學生物學科賦分成績為80(圖2)。
圖2:轉換示意圖

2024年湖南省高考時間安排
高考日期:6月7日—6月9日
| 時間 | 6月7日 | 6月8日 | ||
| 9:00-11:30 | 15:00-17:00 | 9:00-10:15 | 15:00-17:00 | |
| 科目 | 語文 | 數學 | 歷史/物理 | 外語 |
| 時間 | 6月9日 | |||
| 8:30-9:45 | 11:00-12:15 | 14:30-15:45 | 17:00-18:15 | |
| 科目 | 化學 | 地理 | 思想政治 | 生物學 |
以上資料僅供參考,具體請以實際情況為準!
相關閱讀
-
湖南雙一流大學有幾所-湖南雙一流大學名單排名一覽表說到好大學除了985211這類高等學府,雙一流大學也是屬于好大學范疇的,說到雙一流大學可能部分學生與家長們并不是很了解,雙一流大學指世界一流大學和一流學科建...作者:山海 時間:2025-06-18 -
高考補錄什么時候開始錄取幾率大嗎?補錄和正常錄取的區別?說到高考補錄很多學生會認為補錄等同于征集志愿,畢竟都是高校校未完成招生計劃時進行的補充錄取環節,但大家需要注意高考補錄和征集志愿還是有所不同的,最明顯...作者:山海 時間:2025-06-17 -
2024湖南警校有哪些學校分別多少分錄取(警校名單及錄取分數線)很多學生從小就有一個警察夢,希望自己未來有一天能夠成為一名英勇無畏的人民警察,維護社會公平和正義,保護人民群眾的生命財產安全,毫無疑問報考警校是一個實...作者:山海 時間:2025-06-13 -
2024湖南考生最低多少分能上政法類大學?附詳細錄取分數線及最新排名(2025參考)法治社會的建設完善,提升了老百姓的法律意識,不論是民事糾紛還是債務糾紛都離不開法律武器,因此對于法律類專業人才的市場需求不斷上升,良好的就業前景和就業...作者:栗子 時間:2025-06-06 -
2024湖南省大學排名及錄取分數線-湖南最好的大學推薦(2025參考)高考志愿填報至關重要,大家一定要重視起來,尤其在選擇院校時一定要對自己有一個清晰的定位,然后通過參考院校的排名及分數線確定自己要報考的院校范圍,很多學...作者:山海 時間:2025-06-05 -
2024湖南專科學校排名及分數線-湖南最好的專科學校推薦(2025參考)考的好不如報的好,志愿填報至關重要,所以在志愿填報之前大家一定要做好充足的準備,比如說要對自己的成績有個清晰的定位,其次廣大考生們也需要參考院校的錄取...作者:山海 時間:2025-05-30
最新文章
- 高考分數相同位次怎么排名的?高考同分排序規則是什么?
- 新高考全國一卷的省份有哪些 全國新高考一卷使用地區
- 2023高考位次怎么查詢?高考位次查詢系統入口在哪里
- 新高考原始分和賦分是什么意思?新高考是按賦分還是原始分錄取?
- 高考位次計算方法公式是什么?高考一分一段表如何換算位次?
- 天津高考新政策是3+1+2還是3+3?2023年天津高考新政策細則解讀
- 2024新高考一卷數學題型改變了嗎變化分析及備考建議,命題人是誰?
- 浙江新高考政策選科怎么選,浙江新高考七選三哪個組合好
- 2025新高考死亡組合,新高考不建議的選科組合(附3+1+2賦分誰最吃虧)
- 新高考英語和老高考英語有什么區別,新高考英語題型及分值介紹