新高考賦分賦哪幾科?高考賦分是按省排名嗎,還是按全國比例?
新高考省份采用賦分制度主要是為了解決不同科目之間成績的可比性問題,將不同科目的原始分數按照統一規則轉換到同一量尺上,以確保和維護高考的公平性。那么各新高考省份的賦分科目分別有哪些呢?是統一的嗎?高考賦分是按省排名還是按全國比例來進行的?小編已為大家整理了相關資料,可供大家參考。

新高考賦分賦哪幾科?
新高考地區考生都需要經過等級賦分再計算高考成績,但各省的賦分科目并不是統一的,在新高考“3+3”和“3+1+2”兩種模式下,賦分科目也分為兩種情況。
“3+3”省份高考賦分科目:
考生高考統考科目為語文、數學、外語,總成績由3門統考成績和考生選考的3門普通高中學業水平考試等級性考試科目成績構成。其中語數外各科滿分均為150分,以原始分計入考生總成績;物理、歷史、政治、地理、化學、生物6門選考科目,每科滿分均為100分,各科均按等級賦分,再計入總成績。
故賦分科目包括:物理、歷史、政治、地理、化學、生物;
適用省份為:浙江、上海、北京、天津、山東、海南。
“3+1+2”省份高考賦分科目:
考生高考統考科目為語文、數學、外語3門,每科滿分均為150分,總分450分,各科均以原始分計入考生總成績;考生在物理、歷史2門首選科目中選擇1門,以原始分計入考生總成績,滿分為100分;在思想政治、地理、化學、生物學4門再選科目中選擇2門,以等級分計入考生總成績,每科滿分均為100分。
故賦分科目包括:政治、地理、化學、生物;
適用省份為:河北、廣東、遼寧、福建、湖北、湖南、重慶、江蘇、安徽、江西、甘肅、黑龍江、吉林、貴州、廣西;2025年高考還將包括另外8個省市(河南、山西、云南、陜西、四川、內蒙古、寧夏、青海)。
新疆、西藏尚未列入新高考改革行列,之后依舊沿用傳統高考模式,無考試科目需要進行賦分。
高考賦分是按省排名嗎,還是按全國比例?
高考賦分主要是根據省排名來進行,而并非全國比例。
以“3+1+2”模式為例:
高考賦分首先需要把每門選擇性考試科目的考生按照所有卷面分(即原始分)從高到低進行排序,再按照一定的人數比例將單科考生劃分成多個分數段(一般是劃分為從A到E五個等級,具體如下表)。考生根據分數對應到具體的等級區間,再通過公式計算將原始分轉換成等級。各選考科目單科成績轉換完畢后,均以等級分計入考生總成績。
| 等級 | A | B | C | D | E |
| 比例 | 約15% | 約35% | 約35% | 約13% | 約2% |
| 賦分區間 | 100-86 | 85-71 | 70-56 | 55-41 | 40-30 |
等級A代表全省排名前15%的考生;
等級B代表全省排名前15%—50%的考生;
等級C代表全省排名前50%—85%的考生;
等級D代表全省排名前85%—98%的考生;
等級E代表全省排名前98%—100%的考生。
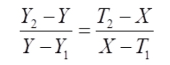
進行等級賦分的計算公式為:

其中,Y1、Y2分別表示某等級原始分數區間的最低分和最高分;
T1、T2分別表示相應等級的賦分區間的最低分和最高分;
Y表示考生的原始成績;
X表示考生轉換后的等級分。
舉例說明:如安徽的甲考生高考生物科目卷面分為85分,在所有選考生物的考生中排名前12%,則對應等級為A,賦分區間為100—86分。假設生物科目A等級的實際分數區間為98~83分,那么按賦分公式轉換后,考生A的等級分為88分,最終以88分計入其高考總成績。

X≈87.87,通過四舍五入最終轉換成績取88分。
以上資料僅供參考,具體請以實際情況為準!
相關閱讀
-
2024年新高考二卷(新課標Ⅱ)語文試卷真題及答案,附試卷考點分布及題型分值一覽使用新高考卷的省份一般是用于語文、數學、外語這三門科目,剩下的幾門科目基本都采用本省的自主命題卷(傳統高考地區除外)。新高考卷在命題方面通常會更加靈活...作者:kokkuri 時間:2024-09-06 -
高考再差都有大專上嗎?低分大專有必要上嗎,差一點的專科上了有用嗎?不論在哪個地區,高考考生都會被劃分為不同批次進行志愿錄取,一般主要會被分為本科批和專科批兩大類。雖然專科院校的檔次通常遜于本科大學,但讀大專也并非就毫...作者:kokkuri 時間:2024-09-05 -
2024青海省本科上線率,高考達線人數是多少?附歷年錄取情況及各省上線人數匯總目前有部分省份已然結束了高考的招生錄取環節,但官方教育考試院尚未公布各批次具體錄取人數,因此各省的錄取率也不得而知。大家僅能根據今年的考生一分一段表,...作者:kokkuri 時間:2024-09-05 -
安徽新高考3+1+2推薦組合,選哪三科比較吃香?安徽省是今年進行高考綜合改革的新省份之一,采取的是新高考“3+1+2”模式,對很多高考相關事項都進行了調整,不知考生們是否適應了這些變化。而與傳統高考模式...作者:kokkuri 時間:2024-09-04 -
2025云南高考賦分對照表,賦分規則是什么?等級分如何換算?云南省屬于第五批進行新高考改革的八省份之一,將于2025年不再分文理科,改為采用“3+1+2”模式。屆時政治、歷史、地理、物理、化學、生物這6門選擇性考試科目,...作者:kokkuri 時間:2024-09-04 -
新高考選物理一定要選化學嗎2025選物理不選化學對專業影響大嗎高中選科的重要性不言而喻,畢竟影響著將來高考志愿填報可以選擇的專業范圍對于今后的職業發展也有著深遠的影響,所以大家在高中選科時務必認真對待,在新高考模...作者:山海 時間:2024-09-03
最新文章
推薦閱讀
- 2024年新高考二卷(新課標Ⅱ)語文試卷真題及答案,附試卷考點分布及題型分值一覽
- 新高考賦分賦哪幾科?高考賦分是按省排名嗎,還是按全國比例?
- 高考再差都有大專上嗎?低分大專有必要上嗎,差一點的專科上了有用嗎?
- 物化政組合可以報考什么大學?盤點選物化政女生適合的專業
- 西南大學公費師范生分配去向,待遇如何?2024西南大學公費師范生錄取分數線
- 2024青海省本科上線率,高考達線人數是多少?附歷年錄取情況及各省上線人數匯總
- 臨床醫學類專業包括哪些專業?臨床醫學類專業只能當醫生嗎,就業方向有哪些?
- 新能源專業學校有哪些,學費貴嗎?孩子學新能源有出路嗎?
- 哈軍工拆分出來哪些大學?分別有何淵源?拆分出來的都是211嗎?
- 安徽新高考3+1+2推薦組合,選哪三科比較吃香?