2025廣東新高考物理試卷真題及答案解析,附考點題型及分值分布
時間:2025-08-27 15:37:56
來源:精英考試網
作者:kokkuri
歷年高考真題卷對于高中生來說彌足珍貴,考過的試卷雖已過時,但真題卻不會完全過時。每一道真題蘊含的知識點、命題思路、階梯邏輯等對于考生來說極具參考價值,綜合多年的高考真題,考生可以從中發現命題規律和考試大綱,把握考試重點,有利于進行接下來的復習和備考。目前廣東省2025年高考物理真題已然公布,感興趣的同學趕快來獲取吧!

2025廣東新高考物理試卷真題及答案解析
廣東省屬于新高考“3+1+2”省份,高考物理科目一般于6月8日上午09:00 - 10:15舉行考試,考試時長75分鐘,試卷滿分為100分。另外,根據該省高考賦分制度來看,物理屬于首選科目,無需進行賦分轉換,可直接以卷面分計入考生總成績。
由廣東省2025年高考招生規定可知,該省物理卷由本省教育考試院自主命題。據分析,廣東物理卷主要題型為單選題、多選題和非選擇題,每年試卷各小題考察的知識點會有所調整,以下僅展示2025年廣東高考物理卷的題型、分值及考點分布情況,可供參考。
試卷結構:單選題(7題,共28分)+多選題(3題,共18分)+非選擇題(5題,共54分)=100分
| 題型 | 題號 | 考點 | 分值 |
| 單選題(本題共7小題,每小題4分,共28分) | 1 | 波源或觀察者運動時接收頻率的定量計算 | 4分 |
| 2 | 理想變壓器的電壓比、電流比及負載變化的影響 | 4分 | |
| 3 | 飽和電流、遏止電壓與入射光頻率的關系 | 4分 | |
| 4 | 全反射臨界角計算及光路分析 | 4分 | |
| 5 | 衛星軌道參數(周期、線速度、向心加速度)計算 | 4分 | |
| 6 | 帶電粒子在電場中加速后進入磁場偏轉的軌跡分析 | 4分 | |
| 7 | 通過位移-時間(s-t)或速度-時間(v-t)圖像判斷碰撞類型及動量變化 | 4分 | |
| 多選題(本題共3小題,每小題6分,共18分) | 8 | 向心力來源及計算 | 6分 |
| 9 | 線框切割磁感線時感應電動勢的計算及方向判斷 | 6分 | |
| 10 | 動量定理與受力平衡的綜合應用 | 6分 | |
| 非選擇題(本題共5小題,共54分) | 11 | 螺旋測微器讀數;平衡摩擦力的方法;驗證動量守恒定律 | 8分 |
| 12 | 電磁感應原理的應用;電動勢計算 | 8分 | |
| 13 | 理想氣體狀態變化;熱力學第一定律 | 9分 | |
| 14 | 力矩平衡;機械效率 | 13分 | |
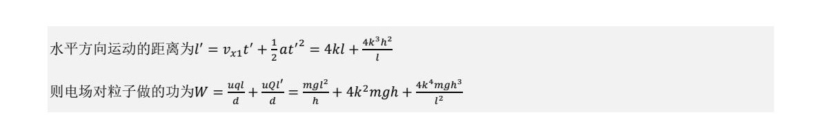
| 15 | 帶電粒子在復合場中的運動軌跡、做功及能量變化 | 16分 | |
| 考點分析來自于網絡 | |||
2025廣東高考物理試卷真題及答案解析
試卷真題:






答案解析:












以上資料僅供參考,具體請以實際情況為準!
相關閱讀
-
2025廣東新高考化學試卷真題及答案解析,附考點題型及分值分布歷年高考真題卷對于高中生來說彌足珍貴,考過的試卷雖已過時,但真題卻不會完全過時。每一道真題蘊含的知識點、命題思路、階梯邏輯等對于考生來說極具參考價值,...作者:kokkuri 時間:2025-08-27 -
遼寧公辦本科大學有哪些2025完整名單排名-遼寧最好的公辦本科大學推薦在志愿填報時公辦性質的大學往往會更受歡迎,這主要是因為公辦性質的大學學費相對更加合理,大多數家庭都能夠承擔,且公辦大學學術氛圍會更加的濃厚,教育資源也...作者:山海 時間:2025-08-26 -
山西公辦本科大學有哪些2025完整名單排名-山西最好的公辦本科大學推薦在志愿填報時公辦性質的大學往往會更受歡迎,這主要是因為公辦性質的大學學費相對更加合理,大多數家庭都能夠承擔,且公辦大學學術氛圍會更加的濃厚,教育資源也...作者:山海 時間:2025-08-26 -
河北公辦本科大學有哪些2025完整名單排名-河北最好的公辦本科大學推薦在志愿填報時公辦性質的大學往往會更受歡迎,這主要是因為公辦性質的大學學費相對更加合理,大多數家庭都能夠承擔,且公辦大學學術氛圍會更加的濃厚,教育資源也...作者:山海 時間:2025-08-26 -
安徽公辦本科大學有哪些2025完整名單排名-安徽最好的公辦本科大學推薦在志愿填報時公辦性質的大學往往會更受歡迎,這主要是因為公辦性質的大學學費相對更加合理,大多數家庭都能夠承擔,且公辦大學學術氛圍會更加的濃厚,教育資源也...作者:山海 時間:2025-08-26 -
2025農業大學排名全國排名:盤點中國前十農業大學!在全國范圍內形形色色的各類高校中,農業大學其實是相對“低調”、不太引人注意的,因為這些院校都主要以農業科學、生命科學作為優勢和特色進行發展,難以引發廣...作者:kokkuri 時間:2025-08-26
最新文章
- 高考分數相同位次怎么排名的?高考同分排序規則是什么?
- 新高考全國一卷的省份有哪些 全國新高考一卷使用地區
- 2023高考位次怎么查詢?高考位次查詢系統入口在哪里
- 新高考原始分和賦分是什么意思?新高考是按賦分還是原始分錄取?
- 高考位次計算方法公式是什么?高考一分一段表如何換算位次?
- 2025新高考死亡組合,新高考不建議的選科組合(附3+1+2賦分誰最吃虧)
- 天津高考新政策是3+1+2還是3+3?2023年天津高考新政策細則解讀
- 2024新高考一卷數學題型改變了嗎變化分析及備考建議,命題人是誰?
- 浙江新高考政策選科怎么選,浙江新高考七選三哪個組合好
- 新高考英語和老高考英語有什么區別,新高考英語題型及分值介紹
推薦閱讀
- 2025廣東新高考化學試卷真題及答案解析,附考點題型及分值分布
- 2025廣東新高考物理試卷真題及答案解析,附考點題型及分值分布
- 復讀風險大嗎成功率有多少?什么分數段適合復讀?
- 地方專項和國家專項有什么區別?國家專項好還是地方專項好?
- 電子信息哪個專業最吃香-電子信息四大王牌專業
- 遼寧公辦本科大學有哪些2025完整名單排名-遼寧最好的公辦本科大學推薦
- 山西公辦本科大學有哪些2025完整名單排名-山西最好的公辦本科大學推薦
- 河北公辦本科大學有哪些2025完整名單排名-河北最好的公辦本科大學推薦
- 安徽公辦本科大學有哪些2025完整名單排名-安徽最好的公辦本科大學推薦
- 2025農業大學排名全國排名:盤點中國前十農業大學!